eyc-tech 熱線式氣體質量流量計原理與應用
eyc-tech 熱線式氣體質量流量計原理與應用
熱線式氣體質量流量計原理
熱線式風速計的基本原理是將一根細的金屬線絲放在流體中,通過電流加熱金屬線絲(即熱線),使其溫度高於流體的溫度,當流體沿垂直方向流過金屬線絲時,將帶走金屬線絲的一部分熱量,使金屬線絲溫度下降,熱線在氣流中的散熱量與流速有關,散熱量導致熱線溫度變化而引起電阻變化,使流速信號轉變成電氣信號,典型熱線式風速計工作原理如圖所示:


典型熱線式風速計工作原理
在農、工業、民生等諸多生產設備或系統中,流量或風速是一個很重要的感測項目。而熱線式風速計在各行業具有廣泛的應用,例如在(1)汽車工業,用於檢測進入發動機的空氣量,為汽車發動機提供準確的噴油量;控制噴油氣的噴油量,以得到較準確的油氣比,充分發揮發動機的效能。同時,可以減少對環境的污染以及節約燃油。(2)電廠鍋爐空氣給入量與煤的比例控制。(3)空調室內空氣質量與通風節能的最佳控制。(4)民生、工業現場的天然氣、液化氣、煤氣等可燃性氣體的流量檢測。(5)醫學的臨床診斷和治療, 呼吸功能測量儀通過測量受測者的中期、峰值呼吸流速和呼吸容量等靜態、動態肺功能參數,為呼吸疾病診斷、治療提供醫學依據。
熱線式流量計亦可用於量測氣體流速, 或稱風速計; 熱線式又分為CVA(恒壓風速計)、CCA(恒流風速計)和 CTA(恒溫風速計)三類。
熱線式風速計最適用在精確測量流速非常低(例如,低於2000 ft/min)的氣流。有些型號被設計為測量高達15000
ft/min的流速,但對於非常低的速度,仍具有非常精確的測量能力。如eYc風速感測器核心產品FTM09 、FTM06、 FTM8X 、FTM3X 便是利用不同原理設計,這些風速計的電壓輸出是設備中某類電路為保持特定變數(電流、電源或溫度)恒定而產生的結果。另外,FTM09可發送重複電流脈衝,通過脈衝將導線的電阻提升到特定值,隨後切斷脈衝,直至電阻降至“下限”閾值時再次發送脈衝,最後通過重複脈衝的時長推導出流速。
熱線式風速計雖極其複雜,但相對於其它測量方法,具有極佳的頻率回應特性和空間解析度。因此廣泛地用於對紊流或流速波動迅速的任何氣流進行詳細研究。
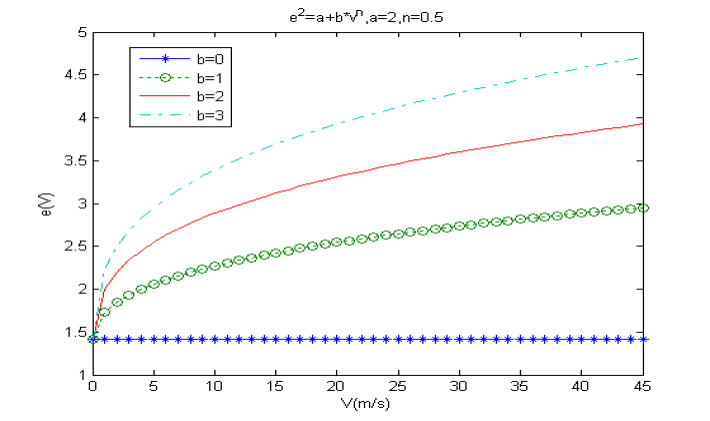
針對熱線式風速計感測器的非線性特性,在校正上將感測器特性曲線,經過溫度零點補償後進行訊號換算,可將訊號線性化後輸出。透過記錄風速、感測器電壓、流體溫度和壓力,可校正隨風速、溫度變化的感測器電壓。因此還具有溫度測量、資料記錄等附加功能。當感測器在恒溫下工作,King's law 的熱平衡方程為:
e²=a'+b' vn
上式中: e為感測器電壓輸出(V); a'為恒溫熱線式風速計的零點輸出,可利用電路消除;b'是感測器的靈敏度,與工作溫度相關;v 是流體的流速;n通常取0.45~0.5,由公式可以畫出恒溫熱線式風速計的特性曲線,如圖所示,

恆溫熱線式風速計特性曲線
eyc-tech 熱線式氣體質量流量計(風速計)系列特點具有壓損小、流量範圍度大、高精度、高重複性、高可靠性、有較好的線性度和靈敏度、易維護不易損壞等特點。

eyc-tech FTM系列熱線式氣體品質流量計安装示意圖
熱線式氣體質量流量計應用場合
|
化學行業 |
化肥廠氨氣測量;電池工廠各種氣體流量測量;採樣系統中氣體流量計量;引風機的氣體流量計量;煙氣迴圈監測 |
|
冶金行業 |
軋鋼廠加熱爐燃氣(高爐煤氣、焦化煤氣、天然氣等)的測量控制;熱處理淬火爐等的氫、氧、氮等氣體的控制;鋼鐵廠加氣測量;焦化廠、煉鐵廠焦爐煤氣的測量 |
|
電力行業 |
氫氣測量;電廠高爐的一次風、二次風的測量;燃料系統中氣體分配過程中的氣體測量;鍋爐及輔助系統中各種氣體的測量;燃氣爐中氣體測量 |
|
環保 |
汙水處理過程中曝氣池的氣體測量;煙筒煙道排氣監測SO2和NOX的排量;沼氣利用過程中的氣體測量;氯氣處理過程中氯氣氣體測量 |
|
食品及醫藥行業 |
啤酒廠中的二氧化碳處理;熱氧化過程中氣體流量測量;通風系統;加工操作中新鮮空氣的加入;鍋爐進氣﹑廢氣﹑程序控制 |
|
紙漿與造紙行業 |
鍋爐的燃氣和空氣送風測量;廢水處理系統中氣體的測量;煙道流量監控;鍋爐回收二次/三次空氣 |
|
石油與天然氣工業 |
能量交換;天然氣測量;火炬氣的監控;填井氣回收;燃氣計量;氣體品質分析;洩漏氣測試 |
|
其他行業 |
管道、工業制程;工廠壓縮空氣測量;煤粉燃燒過程粉/氣配比控制燃料;水泥工業豎式磨粉機排放熱氣流量控制 |
熱線式氣體質量流量計/相關產品
eyc-tech FTM09 熱線式氣體流量計 此款產品請與我們業務洽談!
部分內容引用臺灣科大自控所與宇田控制科技合作檔-熱線式風速感測器自動線性校正系統